Essential Knowledge About Resistors: A Comprehensive Guide to Key Terms
- 2024-12-23 15:48
Related links
본문
Chapter 2: Overview of Resistor & Terms
The Magic of Resistors: The Secret Weapon for Controlling Electrical Flow
Resistor Terminology and Abbreviations
1. Resistor Tolerance
Resistors are manufactured to have specific resistance values (e.g., 100Ω, 1kΩ). However, due to manufacturing processes, slight variations in resistance values occur. Tolerance indicates the allowable deviation from the nominal resistance value, expressed as a percentage.
For example, a resistor with a tolerance of ±5% and a nominal resistance of 100Ω will have an actual resistance between 95Ω and 105Ω. This means the resistance can vary within the range of ±5% from the specified value.
1) Types of Tolerance
• ±1%: Highly accurate, used in advanced circuits or precision instruments. • ±5%: Provides basic accuracy, Common in standard electronic circuits. • ±10%: Cost-effective, used when accuracy is less critical. • ±0.1% or lower: Extremely precise, suitable for experimental equipment and high-end electronics. |
2) Importance of Tolerance
Tolerance affects circuit accuracy and stability. In circuits where precise resistance values are crucial, resistors with low tolerance are essential to ensure accuracy. On the other hand, for circuits where exact resistance values are less critical, using resistors with higher tolerance may be sufficient and cost-effective. • Precision Circuits: Low tolerance is essential for high-end devices (e.g., medical or audio equipment). |
2. Temperature Coefficient (TCR)
TCR quantifies how much a resistor’s resistance value changes with temperature. It indicates the sensitivity of resistance to temperature fluctuations.
For example, a resistor with a TCR of +100ppm/°C increases its resistance by 100ppm (parts per million) for every 1°C rise in temperature. TCR values can be positive or negative:
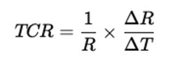
1) Calculation of TCR
• Positive TCR: Resistance increases with rising temperature. • Negative TCR: Resistance decreases with rising temperature. (common in metallic resistors)
• R: Initial resistance value • ΔR: Change in resistance • ΔT: Change in temperature |
This formula calculates the ratio of resistance change to temperature change, showing how much resistance varies with temperature. For example, if a 10°C temperature change causes the resistance to increase by 10Ω, the TCR can be determined using this formula.
2) Units of TCR
• Ω/°C: Resistance change per degree Celsius. • ppm/°C: Parts per million change per degree Celsius. (1 ppm = 0.0001%) |
• Precision Circuits: Low TCR ensures stable resistance despite temperature variations (e.g., medical and measurement devices). • High-Temperature Environments: Resistors with low TCR, such as metal film resistors and precision resistors, maintain performance under varying temperatures. |
3. Voltage Coefficient (VCR)
VCR measures how a resistor’s resistance changes with applied voltage. It is crucial in understanding resistor performance in high-voltage or precision circuits. VCR is expressed in ppm/V (parts per million per volt).
Voltage coefficient (VCR) is typically expressed in units of ppm/V (parts per million per volt). It indicates how much the resistance value changes for every 1V change in applied voltage. Generally, resistors with a low voltage coefficient provide more stable performance in high-voltage environments.
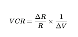
1) Definition and Formula
The voltage coefficient (VCR) represents the rate at which a resistor's resistance value increases or decreases when a voltage is applied. It numerically expresses the variation in resistance due to changes in voltage.
• R: Initial resistance value • ΔR: Change in resistance • ΔV: Voltage change |
A voltage coefficient of 100ppm/V means that for every 1V increase in voltage, the resistance value changes by 100ppm (parts per million).
2) Importance of VCR
The voltage coefficient indicates how sensitive a resistor is to voltage changes, making it an important characteristic in high-voltage circuits or precision circuits. In circuits dealing with high voltage, it is advisable to choose resistors with a low voltage coefficient. Otherwise, the resistance value may change significantly with voltage fluctuations, potentially affecting the circuit's operation.
• Precision Circuit Design: Minimizing resistance variation due to voltage changes improves accuracy. • High-Voltage Applications: Resistors with low VCR provide stability under high voltage, ensuring consistent circuit performance. |
3) VCR vs. TCR
The VCR and TCR are both important factors that influence the characteristics of a resistor. These two properties are different and affect the performance of the resistor in distinct ways:
• Voltage Coefficient (VCR): This represents the change in resistance due to voltage fluctuations. It indicates how much the resistance value changes as the voltage increases and is an important characteristic in high-voltage environments. • Temperature Coefficient (TCR): This represents the change in resistance due to temperature variations. It shows how the resistance value changes as the temperature increases. The temperature coefficient primarily describes how the resistance value alters with temperature changes. |
4. Stability
Stability refers to the ability of a resistor to maintain consistent performance over time and under varying environmental conditions. Stable resistors exhibit minimal changes in resistance despite exposure to factors such as:
• Temperature Changes: Resistors with low TCR are more stable under temperature fluctuations. • Voltage Variations: Resistors with low VCR maintain consistent performance under different voltage levels. • Environmental Factors: Humidity and chemical exposure can affect stability. |
For resistors, it is crucial that the resistance value remains constant over time and does not change. For example, in high-temperature environments or when voltage fluctuations occur, it is important for the resistor to maintain its original resistance value, which is referred to as stability. A resistor with a low Voltage Coefficient (VCR) will not experience significant changes in resistance as voltage increases, ensuring higher stability against voltage fluctuations. This guarantees that the performance of the resistor remains consistent even in high-voltage environments, thereby maintaining the consistency of the circuit.
Benefits of High Stability
• Reliable long-term performance. • Suitable for critical applications such as medical or aerospace electronics. |
5. Reliability
Reliability refers to a component's ability to function properly over an extended period under expected conditions. In other words, reliability indicates the ability of a component to operate effectively without failure for its expected lifespan. Reliability is closely tied to the component's ability to withstand environmental stresses such as temperature, voltage, humidity, and more.
The reliability of a resistor is primarily related to its durability and performance maintenance, with the following factors being important:
• Environmental Stress: Resistance to high temperature, voltage, and humidity. • Durability: Ability to withstand mechanical and electrical stress. • Failure Rate: Frequency of malfunction over time. |
Key Features of Reliable Resistors
• Low VCR ensures consistent performance in high-voltage environments. • High stability for long-term use in critical circuits. • Minimal failure rates ensure dependable operation. |
6. Rated Temperature
Rated temperature is the maximum operating temperature a resistor can withstand without performance degradation. Exceeding this limit may lead to:
• Resistance value deviations. • Potential resistor failure or circuit damage. • Material degradation or thermal breakdown. |
Calculation of Total Temperature
Where:
• Ambient Temperature: Environmental temperature. • Self-Heating Rise: Heat generated by resistor power dissipation. |
7. Rated Power
• Resistance value drift. • Physical damage or permanent failure. |
Power Dissipation Formula
Where:
• P: Power (watts) • I: Current (amperes) • R: Resistance (Ω) |
Conclusion


