Grundlegendes Wissen über Widerstände: Ein umfassender Leitfaden zu den wichtigsten Begriffen
- 2024-12-23 15:48
Verwandte Links
본문
Kapitel 2: Überblick über Widerstände & Begriffe
Die Magie der Widerstände: Die geheime Waffe zur Steuerung des elektrischen Flusses
Terminologie und Abkürzungen von Widerständen
1. Widerstandstoleranz
Widerstände werden mit spezifischen Widerstandswerten hergestellt (z. B. 100 Ω, 1 kΩ). Aufgrund von Fertigungsprozessen treten jedoch geringfügige Abweichungen in den Widerstandswerten auf. Die Toleranz gibt die zulässige Abweichung vom Nennwiderstandswert in Prozent an.
Beispiel: Ein Widerstand mit einer Toleranz von ±5 % und einem Nennwert von 100 Ω hat einen tatsächlichen Widerstand zwischen 95 Ω und 105 Ω. Das bedeutet, dass der Widerstand innerhalb des Bereichs von ±5 % vom angegebenen Wert variieren kann.
1) Arten der Toleranz
• ±1%: Hochpräzise, eingesetzt in fortgeschrittenen Schaltungen oder • ±5%: Bietet Grundgenauigkeit, häufig in Standard-Elektroschaltungen. • ±10%: Kostengünstig, verwendet wenn Genauigkeit weniger kritisch ist. • ±0.1% oder niedriger: Extrem präzise, geeignet für Versuchsausrüstung und hochwertige Elektronik. |
2) Bedeutung der Toleranz
Die Toleranz beeinflusst die Genauigkeit und Stabilität einer Schaltung. In Schaltungen, bei denen präzise Widerstandswerte entscheidend sind, sind Widerstände mit geringer Toleranz unabdingbar. Andererseits können in Schaltungen, bei denen exakte Widerstandswerte weniger kritisch sind, Widerstände mit größerer Toleranz ausreichend und kosteneffizient sein. • Präzisionsschaltungen: Niedrige Toleranz ist essenziell für High-End-Geräte (z. B. Medizin- oder Audio-Geräte). |
2. Temperaturkoeffizient (TCR)
Der TCR quantifiziert, wie stark sich der Widerstandswert eines Widerstands mit der Temperatur ändert. Er zeigt die Empfindlichkeit des Widerstands gegenüber Temperaturschwankungen.
Beispiel: Ein Widerstand mit einem TCR von +100 ppm/°C erhöht seinen Widerstand um 100 ppm (Parts per Million) für jede 1 °C Temperaturerhöhung. TCR-Werte können positiv oder negativ sein:
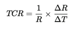
1) Berechnung des TCR
• Positiver TCR: Widerstand steigt mit zunehmender Temperatur. • Negativer TCR: Widerstand sinkt mit steigender Temperatur . (typisch bei metallischen Widerständen)
• R: Anfangswiderstand • ΔR: Widerstandsänderung • ΔT: Temperaturänderung |
Diese Formel berechnet das Verhältnis der Widerstandsänderung zur Temperaturänderung und zeigt, wie stark sich der Widerstand mit der Temperatur verändert. Beispiel: Wenn eine Temperaturänderung von 10 °C eine Widerstandssteigerung von 10 Ω zur Folge hat, kann mit dieser Formel der TCR bestimmt werden.
2) Einheiten des TCR
• Ω/°C: Widerstandsänderung pro Grad Celsius. • ppm/°C: Änderung pro Million pro Grad Celsius. (1 ppm = 0.0001%) |
• Präzisionsschaltungen: Ein niedriger TCR gewährleistet stabilen Widerstand trotz Temperaturschwankungen (z. B. im Bereich Medizin- oder Messgeräte). • Hochtemperaturumgebungen: Widerstände mit niedrigem TCR, wie Metallfilm-Widerstände und Präzisionswiderstände, behalten ihre Leistung bei wechselnden Temperaturen. |
3. Spannungskoeffizient (VCR)
Der VCR (Spannungskoeffizient des Widerstands) misst, wie sich der Widerstandswert eines Widerstands mit der angelegten Spannung ändert. Er ist entscheidend, um das Verhalten von Widerständen in Hochspannungs- oder Präzisionsschaltungen zu verstehen.
Der Spannungskoeffizient (VCR) wird typischerweise in ppm/V (Parts per Million pro Volt) angegeben und zeigt an, wie stark sich der Widerstandswert bei einer Änderung der angelegten Spannung um 1 V verändert. Im Allgemeinen bieten Widerstände mit einem niedrigen Spannungskoeffizienten eine stabilere Leistung in Hochspannungsumgebungen.
1) Definition und Formel
Der Spannungskoeffizient (VCR) gibt die Rate an, mit der sich der Widerstandswert eines Widerstands bei angelegter Spannung erhöht oder verringert. Numerisch drückt er die Variation des Widerstands durch Spannungsänderungen aus.
• R: Anfangswiderstand • ΔR: Widerstandsänderung • ΔV: Spannungsänderung |
Ein Spannungskoeffizient von 100 ppm/V bedeutet, dass sich der Widerstandswert bei jeder Erhöhung der Spannung um 1 V um 100 ppm (Teile pro Million) ändert.
2) Bedeutung des VCR
Der Spannungskoeffizient zeigt, wie empfindlich ein Widerstand gegenüber Spannungsänderungen ist, und stellt somit eine wichtige Eigenschaft in Hochspannungs- oder Präzisionsschaltungen dar. In Schaltungen mit hoher Spannung sollte ein Widerstand mit niedrigem Spannungskoeffizienten gewählt werden — andernfalls kann sich der Widerstandswert durch Spannungsschwankungen erheblich ändern und so die Funktion der Schaltung beeinträchtigen.
• Präzisionsschaltungsdesign: Minimierung von Widerstandsvariationen durch Spannungsänderungen verbessert die Genauigkeit. • Hochspannungsanwendungen: Widerstände mit niedrigem VCR bieten Stabilität unter hoher Spannung und sichern die konsistente Leistung der Schaltung. |
3) VCR vs. TCR
Der VCR und der TCR sind beide wichtige Faktoren, die die Eigenschaften eines Widerstands beeinflussen. Diese beiden Eigenschaften unterscheiden sich und wirken sich auf die Leistung des Widerstands auf unterschiedliche Weise aus:
• Spannungskoeffizient (VCR): Gibt die Widerstandsänderung durch Spannungsschwankungen an. Er zeigt, wie stark sich der Widerstandswert mit steigender Spannung ändert — eine wichtige Kennzahl in Hochspannungsumgebungen. • Temperaturkoeffizient (TCR): Gibt die Widerstandsänderung durch Temperaturschwankungen an. Er zeigt, wie sich der Widerstandswert mit steigender Temperatur ändert. Der Temperaturkoeffizient beschreibt in erster Linie, wie sich der Widerstandswert bei Temperaturänderungen verändert. |
4. Stabilität
Stabilität bezeichnet die Fähigkeit eines Widerstands, unter wechselnden Umweltbedingungen und über einen längeren Zeitraum eine gleichbleibende Leistung zu erbringen. Stabile Widerstände zeigen minimale Widerstandsänderungen, trotz Einwirkung folgender Faktoren:
• Temperaturänderungen: Widerstände mit niedrigem TCR sind bei Temperaturschwankungen stabiler. • Spannungsschwankungen: Widerstände mit niedrigem VCR behalten unter unterschiedlichen Spannungswerten eine gleichbleibende Leistung. • Umweltfaktoren: Feuchtigkeit und chemische Einflüsse können die Stabilität beeinträchtigen. |
Für Widerstände ist es entscheidend, dass der Widerstandswert über die Zeit hinweg konstant bleibt und keine Änderung auftritt. Beispielsweise ist es in Hochtemperaturumgebungen oder bei Spannungsschwankungen wichtig, dass der Widerstand seinen ursprünglichen Wert beibehält — das bezeichnet man als Stabilität. Ein Widerstand mit niedrigem Spannungskoeffizienten (VCR) erfährt keine bedeutenden Widerstandsänderungen bei steigender Spannung und bietet somit höhere Stabilität gegenüber Spannungsschwankungen. Dadurch wird gewährleistet, dass die Leistung des Widerstands auch in Hochspannungsumgebungen konstant bleibt und damit die Konsistenz der Schaltung erhalten wird.
Vorteile hoher Stabilität
• Zuverlässige Langzeitleistung. • Geeignet für kritische Anwendungen wie Medizin- oder Luft- und Raumfahrtelektronik. |
5. Zuverlässigkeit
Zuverlässigkeit bezeichnet die Fähigkeit eines Bauelements, unter den erwarteten Bedingungen über einen längeren Zeitraum ordnungsgemäß zu funktionieren. Anders gesagt zeigt die Zuverlässigkeit, ob ein Bauelement seine Aufgabe über die erwartete Lebensdauer ohne Ausfall erfüllen kann. Die Zuverlässigkeit steht in engem Zusammenhang mit der Fähigkeit des Bauelements, Umweltbeanspruchungen wie Temperatur, Spannung, Feuchtigkeit und mehr auszuhalten.
Die Zuverlässigkeit eines Widerstands hängt im Wesentlichen mit seiner Haltbarkeit und Leistungsfähigkeit über die Zeit ab, wobei folgende Faktoren eine wichtige Rolle spielen:
• Umweltbeanspruchung: Widerstandsfähigkeit gegenüber hoher Temperatur, Spannung und Feuchtigkeit. • Haltbarkeit: Fähigkeit, mechanischen und elektrischen Beanspruchungen standzuhalten. • Ausfallrate: Häufigkeit von Fehlfunktionen im Zeitverlauf.. |
Wesentliche Merkmale zuverlässiger Widerstände
• Niedriger VCR gewährleistet gleichmäßige Leistung in Hochspannungsumgebungen. • Hohe Stabilität für den Langzeiteinsatz in kritischen Schaltungen. • Minimale Ausfallraten sichern zuverlässige Funktion. |
6. Nenntemperatur
Die Nenntemperatur ist die maximale Betriebstemperatur, die ein Widerstand ohne Leistungseinbußen aushalten kann. Wird diese Grenze überschritten, kann dies zu:
• Abweichungen des Widerstandswerts. • Potenziellem Ausfall des Widerstands oder Schaltungsschäden. • Materialabbau oder thermischem Versagen führen. |
Berechnung der Gesamttemperatur
Gegeben sind:
• Umgebungstemperatur: Temperatur der Einsatzumgebung. • Eigenerwärmung: Wärme, die durch Leistungsverlust im Widerstand entsteht. |
7. Nennleistung
• Widerstandsdrift. • Physikalischen Schäden oder dauerhaftem Ausfall führen. |
Leistungsdissipationsformel
Gegeben:
• P: Leistung (Watt) • I: Strom (Ampere) • R: Widerstand (Ω) |
Fazit


