전자회로 필수 저항기 총정리: 종류와 핵심 용어 한눈에 보기
- 2024-12-23 15:48
관련링크
본문
Chapter 2.
<저항기 종류&용어 정리>
-저항기의 일반적 지식-
전자회로 필수 저항기 총정리: 핵심 용어 한눈에 보기
1. 저항기 용어 및 약어
※ 저항기 공차
저항기는 특정한 저항 값(예: 100Ω, 1kΩ 등)으로 제조되지만, 실제로 제조 과정에서 약간의 차이가 있을 수 있습니다. 공차는 이 차이를 나타내는 값으로, 저항기의 실제 저항 값이 표시된 값에서 얼마나 벗어날 수 있는지를 백분율로 표시합니다.
예를 들어, 공차가 ±5%인 저항기라면, 100Ω으로 표시된 실제 저항 값은 95Ω~105Ω 사이일 수 있다는 뜻입니다. 즉, 실제 값이 지정된 값에서 ±5%의 범위 내에서 변동할 수 있다는 것입니다.
1) 공차의 종류
저항기의 공차는 여러 가지가 있으며, 주로 사용되는 공차는 다음과 같습니다:
• ±1%: 매우 정확한 저항기. 일반적으로 고급 전자 회로나 정밀 기기에서 사용
• ±5%: 기본적인 정확도를 제공하는 저항기. 많은 표준 전자 회로에서 사용
• ±10%: 저렴하고 일반적인 저항기. 정확도가 중요하지 않은 경우에 사용
• ±0.1% 이하: 매우 정밀한 저항기로, 실험 장비나 고급 전자 회로에서 사용
2) 왜 공차가 중요한가?
공차는 저항기가 사용되는 회로의 정확도와 안정성에 큰 영향을 미칩니다. 예를 들어, 저항기가 정확한 값에 가까워야 하는 회로에서는 낮은 공차가 중요합니다. 반면, 정확한 저항 값이 그렇게 중요하지 않은 회로에서는 높은 공차의 저항기를 사용해도 문제가 없을 수 있습니다.
• 정밀한 회로: 고급 전자기기, 의료 기기, 오디오 장비 등에서는 낮은 공차가 필요합니다. 작은 오차라도 큰 영향을 미칠 수 있기 때문입니다.
• 일반적인 회로: 가전제품, 전자 기기 등에서는 공차가 더 넓어도 큰 문제가 없을 수 있습니다.
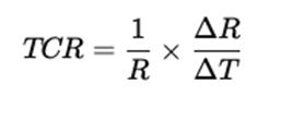
2. 온도계수(TCR)
온도계수(TCR)는 저항기의 저항 값이 온도 변화에 따라 얼마나 변화하는지를 정량적으로 나타내는 값입니다. 쉽게 말해, 저항이 온도에 얼마나 민감한지, 즉 온도가 변화할 때 저항이 얼마나 증가하거나 감소하는지를 나타내는 지표입니다.
예를 들어, TCR이 +100ppm/°C인 저항기는 온도가 1°C 상승할 때 저항 값 100ppm (백만분의 100) 만큼 증가한다는 의미입니다. TCR 값은 양수일 수도 있고, 음수일 수도 있습니다.
1) TCR계산
• 양의 TCR: 온도가 상승하면 저항 값이 증가합니다. 대부분의 금속성 저항기에서 나타납니다.
• 음의 TCR: 온도가 상승하면 저항 값이 감소합니다. 일반적으로 탄소 계열의 저항기에서 나타날 수 있습니다.
(TCR의 정의와 계산)
• R: 저항기의 초기 저항 값
• ΔR: 저항의 변화량
• ΔT: 온도의 변화량
이 식은 온도가 변할 때 저항 값이 얼마나 변화하는지 비율로 계산해주는 방식입니다. 예를 들어, 온도 변화가 10°C일 때, 저항이 10Ω 증가했다면, TCR을 계산할 수 있습니다.
2) TCR의 단위
TCR은 보통 두 가지 단위로 표현됩니다
• Ω/°C: 단위 저항 당 온도 변화에 따른 저항의 변화량
• ppm/°C: 백만분의 1 단위로 온도 변화에 따른 저항의 변화를 나타냅니다.
(1 ppm = 0.0001%)
3) TCR이 중요한 이유
TCR은 저항기가 사용되는 환경에서 매우 중요한 요소입니다. 예를 들어, 온도가 급격하게 변화하는 환경에서 저항기가 사용될 때, TCR이 높은 저항기는 저항 값이 크게 변하여 회로의 성능에 영향을 미칠 수 있습니다.
• 정밀한 회로: 온도 변화에 민감한 전자 회로에서는 낮은 TCR을 가진 저항기가 필수적입니다. 예를 들어, 의료 장비나 정밀 측정 장비에서 정확한 저항 값이 유지되어야 하므로 낮은 TCR의 저항기가 필요합니다.
• 고온 환경: 고온에서 사용되는 전자 기기에서는 온도 변화에 따라 저항 값이 일정하게 유지되는 것이 중요합니다. 이 경우, 금속 필름 저항기나 정밀 저항기와 같은 낮은 TCR을 가진 저항기가 선택됩니다.
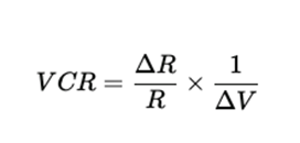
3. 전압계수(Voltage Coefficient)
저항기의 저항 값이 적용된 전압에 따라 얼마나 변화하는지를 나타내는 특성입니다. 전압계수는 전압이 변화할 때 저항 값이 어떻게 달라지는지를 정량적으로 측정하는데 사용되며, 주로 고전압 회로나 정밀한 전자기기에서 저항기의 성능에 미치는 영향을 이해하는 데 중요합니다.
전압계수는 보통 ppm/V(백만분의 1) 단위로 표현됩니다. 이는 1V 전압 변화에 대해 저항 값이 얼마나 변화하는지를 나타내며, 일반적으로 전압계수가 낮은 저항기가 고전압 환경에서 더 안정적인 성능을 보입니다.
1) 전압계수 정의
전압계수는 전압이 가해질 때 저항 값이 증가하거나 감소하는 비율을 나타내며, 이는 전압 변화에 의한 저항 값의 변동을 수치적으로 표현한 것입니다.
• R: 전압이 가해지기 전 저항기의 초기 저항 값
• ΔR: 전압 변화에 따른 저항 값의 변화
• ΔV: 전압 변화량
전압계수가 100ppm/V라는 것은 전압이 1V 증가할 때 저항 값이 100ppm(백만분의 1) 만큼 변한다는 의미입니다.
2) 전압계수의 중요성
전압계수는 전압이 변화할 때 저항기가 얼마나 전압 변화에 민감하게 반응하는지를 나타내므로, 고전압 회로나 정밀 회로에서 중요한 특성입니다. 고전압을 다루는 회로에서는 전압계수가 작은 저항기를 선택하는 것이 좋습니다. 그렇지 않으면 전압 변화에 따라 저항 값이 크게 변할 수 있어 회로의 동작에 영향을 미칠 수 있습니다.
• 정밀 회로 설계: 정밀한 측정이나 신호 처리 회로에서는 전압계수가 작은 저항기를 사용하여 전압 변화에 의한 오차를 최소화합니다.
• 고전압 환경: 고전압이 자주 적용되는 회로에서는 전압계수가 작은 저항기를 사용하여 저항 값의 변동을 최소화합니다.
• 저항 값의 안정성: 전압계수가 낮으면 회로의 성능이 보다 일관되게 유지됩니다.
전압계수가 높은 저항기는 전압이 변화할 때 저항 값의 변화가 커지므로, 신뢰성 있는 성능을 유지하기 어려울 수 있습니다. 반면, 전압계수가 낮은 저항기는 전압의 변화가 있더라도 저항 값이 거의 변하지 않기 때문에, 고전압 회로나 고정밀 회로에서 더 안정적인 성능을 제공합니다.
3) 전압계수와 온도계수의 차이
전압계수와 온도계수는 모두 저항기의 특성에 영향을 미치는 중요한 요소입니다. 이 두 특성은 다르며, 각기 다른 방식으로 저항기의 성능에 영향을 줍니다:
• 전압계수: 전압 변화에 따른 저항의 변화를 나타냅니다. 전압이 높아지면 저항 값이 얼마나 변하는지를 나타내며, 고전압 환경에서 중요한 특성입니다.
• 온도계수 (TCR): 온도의 변화에 따른 저항의 변화를 나타냅니다. 온도가 상승하면 저항 값이 어떻게 변화하는지를 보여줍니다. 온도계수는 주로 온도가 변할 때 저항 값이 어떻게 달라지는지를 설명합니다.
4. 안정성 (Stability)
안정성은 시간이 지나면서 부품이 본래의 성능을 얼마나 잘 유지하는지를 나타내는 특성입니다. 즉, 부품이 시간이 지나면서 변형되거나 성능이 저하되지 않고 일정한 동작을 계속하는 능력을 의미합니다.
저항기의 경우, 저항 값이 시간이 지나면서 변하지 않고 일정하게 유지되는 것이 중요합니다. 예를 들어, 고온 환경이나 전압 변화가 있을 때 저항기가 원래의 저항 값을 유지하는 것이 바로 안정성입니다. 전압계수(VCR)가 낮은 저항기는 전압이 증가해도 저항 값이 크게 변하지 않기 때문에 전압 변화에 대한 안정성이 높습니다. 이는 고전압 환경에서도 저항기의 성능이 크게 변하지 않음을 보장하여 회로의 일관성을 유지합니다.
• 온도 변화: 온도가 급격히 변하면 저항 값이 변화할 수 있습니다. 온도계수가 낮은 저항기는 온도 변화에 대한 안정성이 높습니다.
• 전압 변화: 전압계수가 낮은 저항기는 전압 변화에 의한 안정성이 높습니다.
• 습도, 화학적 환경: 외부 환경의 변화가 저항 값에 미치는 영향도 안정성에 포함됩니다.
안정성이 뛰어난 저항기는 시간이 지나도 저항 값이 거의 변하지 않기 때문에, 긴 시간 동안 신뢰할 수 있는 성능을 제공합니다.
5. 신뢰도 (Reliability)
신뢰도는 부품이 오랜 기간 동안 예상되는 조건에서 제대로 작동할 수 있는 능력을 의미합니다. 즉, 신뢰도는 부품이 실제로 고장 없이, 예상되는 수명 동안 잘 작동할 수 있는 능력을 나타냅니다. 신뢰도는 부품이 환경적 스트레스(온도, 전압, 습도 등)를 견디는 능력과 밀접하게 관련이 있습니다.
저항기의 신뢰도는 주로 내구성과 성능 유지에 관련된 특성으로, 다음과 같은 요소들이 중요합니다:
• 고온 및 고전압 환경에서의 성능: 전압계수가 낮고 안정성이 높은 저항기는 고전압 환경에서도 기능을 유지하므로 신뢰도가 높습니다.
• 사고 또는 열화 없이 동작하는 능력: 고온, 고전압, 고습도 등에서 저항기 성능이 얼마나 변하지 않는지가 신뢰도를 결정합니다.
• 사고율: 부품이 특정 기간 동안 얼마나 자주 고장이 나는지를 측정한 지표입니다.
신뢰도가 높은 저항기는 오랜 시간 동안 안정적으로 동작할 수 있어, 전자 회로에서 장기간 사용이 가능합니다. 전압계수가 낮은 저항기, 특히 금속 필름 저항기나 정밀 저항기는 고전압과 고온 환경에서의 신뢰도가 매우 높습니다.
▶ 저항기의 전압계수는 안정성 및 신뢰도와 밀접하게 연관되어 있습니다. 전압계수가 낮은 저항기는 전압 변화에 따른 저항 값의 변동이 적기 때문에 고전압 환경에서도 안정적이고 신뢰성 있는 성능을 유지합니다.
• 전압계수가 낮은 저항기: 고전압 상황에서도 저항 값의 변화가 적어 신뢰도가 높습니다. 또한, 전압에 의한 영향을 최소화하여 안정성이 뛰어납니다.
• 전압계수가 높은 저항기: 전압 변화에 따라 저항 값이 크게 변할 수 있어, 고전압 회로에서 신뢰성과 안정성이 떨어질 수 있습니다.
6. 정격온도 (Rated Temperature)
정격온도는 저항기가 안전하게 작동할 수 있는 최대 온도를 의미합니다. 이는 저항기의 온도가 이 한계를 초과할 경우 저항기의 성능이 손상될 수 있음을 나타냅니다. 일반적으로 저항기의 성능은 온도 변화에 따라 영향을 받기 때문에, 정격온도는 저항기 설계에서 중요한 기준이 됩니다.
• 정격온도 초과 시 위험: 저항기의 온도가 정격온도를 넘으면, 저항 값이 변할 수 있고, 심한 경우 저항기 고장이나 회로 손상이 발생할 수 있습니다. 또한, 지나치게 높은 온도는 저항기의 재료를 손상시키거나 열화를 일으킬 수 있습니다.
• 온도와 저항 값: 대부분의 저항기는 온도가 올라가면 저항 값이 증가하는 경향이 있습니다. 이를 온도계수(TCR)라고 하며, 정격온도 이상에서 저항 값의 변동이 커질 수 있습니다.
※ 정격온도와 온도 상승의 관계
저항기가 동작 중 전력을 소모하면 열이 발생하며, 이 열로 인해 온도가 상승합니다.
저항기의 총 온도는 다음과 같이 계산할 수 있습니다: 상승총 온도=주변 온도+자체 온도 상승
• 주변 온도: 저항기가 동작하는 환경의 기본 온도입니다.
• 자체 온도 상승: 저항기가 전력을 처리하면서 발생하는 열로 인한 온도 증가입니다.
정격온도는 이 두 요소를 합한 온도가 초과해서는 안 되는 한계치를 나타냅니다.
7. 정격전력 (Rated Power)
정격전력은 저항기가 안전하게 처리할 수 있는 최대 전력을 의미합니다. 이 값은 저항기에서 발생할 수 있는 최대 열을 기준으로 설정되며, 이를 초과하면 저항기가 과열되거나 손상될 위험이 있습니다.
전력은 다음과 같은 관계로 계산할 수 있습니다:
![]()
• 정격전력 초과 시 위험: 저항기가 정격전력을 초과하는 전력을 처리하면, 과도한 열이 발생하고 과열로 인해 저항기가 파손되거나 회로가 손상될 수 있습니다. 따라서 정격전력을 정확히 이해하고 그 범위 내에서 저항기를 사용해야 합니다.
• 전력 처리와 열 분산: 저항기는 전력을 처리하면서 발생하는 열을 효과적으로 분산시켜야 하므로, 고전력을 처리하는 저항기는 열 방출 능력이 뛰어나야 합니다.
※ 정격온도와 정격전력의 관계
정격온도와 정격전력은 밀접하게 연관되어 있으며, 저항기의 작동 온도와 전력 처리 능력을 함께 고려해야 합니다. 전력이 커질수록 저항기에서 발생하는 열이 증가하고, 이로 인해 저항기의 온도가 상승합니다. 이때 온도가 정격온도를 초과하지 않도록 관리하는 것이 중요합니다.
• 열 관리: 높은 전력을 처리할 때, 저항기는 그에 상응하는 양의 열을 효율적으로 방출해야 합니다. 이 과정에서 방열판이나 냉각 시스템이 필요할 수 있습니다.
• 정격전력 초과: 만약 저항기가 정격전력을 초과하는 전력을 처리하려고 하면, 그로 인해 발생한 열로 인해 저항기 온도가 급격히 상승할 수 있습니다. 이로 인해 정격온도를 초과하게 되어 고장이 발생할 수 있습니다.
정격온도와 정격전력은 저항기의 성능과 안전성을 결정짓는 중요한 특성입니다. 정격온도는 저항기가 안전하게 작동할 수 있는 최대 온도를 나타내며, 정격전력은 저항기가 안전하게 처리할 수 있는 최대 전력을 나타냅니다. 이 두 특성은 서로 밀접하게 연관되어 있으며, 고전력 회로나 고온 환경에서는 이를 고려하여 열 방출과 전력 관리에 신경 써야 합니다.


